
杨振宁是当代的大物理学家, 又是现代数学发展的重要推动者, 他的两项巨大成就: 杨–密尔斯规范场和杨–巴克斯特方程, 成为80年代以来一系列数学研究的出发点, 其影响遍及微分几何、偏微分方程、低维拓扑、辫结理论、量子群等重大数学学科。笔者曾在「杨振宁与当代数学」的访谈录中有过较为详细的介绍(此文的中文版在台湾「数学传播」1992年4月发表, 内容不全相同的英文版刊于「Mathematical Intelligencer」Vol.15,NO.4,1993。它的中译文已被收入杨振宁的新着「读书教学再十年」(台湾时报出版公司,1995), 这里记录的有关数学与物理学的关系, 来自笔者在1995年末在纽约州立大学(石溪) 访问杨振宁先生时的一些谈话材料, 因为不是系统的谈话, 故称「漫谈」。

一、有关数学的两则「笑话」
1980年代初, 杨振宁曾在韩国汉城作物理学演讲时说「有那么两种数学书: 第一种你看了第一页就不想看了, 第二种是你看了第一句话就不想看了」。当时引得物理学家们轰堂大笑。此话事出有因。1969年, 杨振宁察觉物理上的规范场理论和数学上的纤维丛理论可能有关系, 就把著名拓扑学家Steenrod着的「The Topology of Fibre Bundles纤维丛的拓扑)」一书拿来读, 结果是一无所获。原因是该书从头至尾都是定义、定理、推论式的纯粹抽象演绎, 生动活泼的实际背景淹没在形式逻辑的海洋之中, 使人摸不着头脑。上述汉城演讲中那句话本来是即兴所开的玩笑, 不能当真的。岂料不久之后被「Mathematical Intelligencer」捅了出来, 公之与众。在数学界当然会有人表示反对, 认为数学书本来就应该是那样的。不过, 杨振宁先生说「我相信会有许多数学家支持我, 因为数学毕竟要让更多的人来欣赏, 才会产生更大的效果」。
我想, 杨振宁是当代物理学家中特别偏爱数学, 而且大量运用数学的少数物理学者之一。如果连他也对某些数学著作的表达方式啧有烦言, 遑论其它的物理学家? 更不要说生物学家、经济学家、一般的社会科学家和读者了。
另一则笑话, 可在波兰裔美国数学名家S.M.Ulam 的自传「一个数学家的遭遇(Advantures of a mathematician) 」中读到。该书294页上写道: 「杨振宁, 诺贝尔物理学奖获得者, 讲了一个有关现时数学家和物理家间不同思考方式的故事: 一天晚上, 一帮人来到一个小镇。他们有许多衣服要洗, 于是满街找洗衣房。突然他们见到一扇窗户上有标记:『这里是洗衣房』。一个人高声问道: 『我们可以把衣服留在这儿让你洗吗?』窗内的老板回答说:『不, 我们不洗衣服。』来人又问道:『你们窗户上不是写着是洗衣房吗』。老板又回答说: 『我们是做洗衣房标记的, 不洗衣服』。这很有点像数学家。数学家们只做普遍适合的标记, 而物理学家却创造了大量的数学。」
杨振宁教授的故事是一则深刻的寓言。数学圈外的人们对数学家们「只做标记, 不洗衣服」的做法是不赞成的。数学家Ulam 在引了杨振宁的「笑话」之后, 问道, 信息论是工程师C. Shannon 创立的, 而纯粹数学家为什么不早就建立起来? 他感叹地说:「现今的数学和19世纪的数学完全不同, 甚至百分之九十九的数学家不懂物理。然而有许许多多的物理概念, 要求数学的灵感, 新的数学公式, 新的数学观念。」
二、理论物理的「猜」和数学的「证」
1995年12月, 杨振宁先生接到复旦大学校长杨福家的来信, 请杨振宁在1996年5月到复旦为「杨武之讲座」做首次演讲。杨武之教授是杨振宁的父亲, 又是中国数学前辈,早年任清华大学数学系系主任多年, 五十年代后则在复旦大学任教授, 所以杨振宁很愉快地接受了邀请。但是他不能像杨福家校长要求的那样做20次演讲, 只准备讲三次。顺着这一话题, 杨振宁先生又谈了理论物理和数学的一些关系。杨先生说:「理论物理的工作是『猜』, 而数学讲究的是『证』。理论物理的研究工作是提出『猜想』, 设想物质世界是怎样的结构,只要言之成理, 不管是否符合现实, 都可以发表。一旦『猜想』被实验证实, 这一猜想就变成真理。如果被实验所否定, 发表的论文便一文不值(当然失败是成功之母,那是另一层意思了)。数学就不同, 发表的数学论文只要没有错误, 总是有价值的。因为那不是猜出来的, 而有逻辑的证明。逻辑证明了的结果, 总有一定的客观真理性。」「正因为如此, 数学的结果可以讲很长的时间, 它的结果以及得出这些结果的过程都是很重要的。高斯给出代数学基本定理的五种证明, 每种证明都值得讲。如果让丘成桐从头来讲卡拉比(Calabi) 猜想的证明, 他一定会有20讲。但是教我讲『宇称不守恒』是怎么想出来的, 我讲不了多少话。因为当时我们的认识就是朝否定宇称守恒的方向想,『猜测』不守恒是对的。根据有一些, 但不能肯定。究竟对不对, 要靠实验。」
杨先生最后说:「理论物理的工作好多是做无用功, 在一个不正确的假定下猜来猜去,文章一大堆, 结果全是错的。不像数学, 除了个别错的以外, 大部分都是对的, 可以成立的」。
杨先生的这番话, 使我想起不久前Quine 和Jaffe 的一篇文章, 发表于Bulletin of AMS,1993年8月号, 曾引起相当的轰动。该文的主题是问「猜测数学是否允许存在? 」。其中提到, 物理学已经有了分工, 理论物理做「猜测」, 实验物理做「证明」。但是数学没有这种分工。一个数学家, 既要提出猜想, 又要同时完成证明。除了希尔伯特那样的大人物可以提出23个问题, 其猜想可以成为一篇大文章之外, 一般数学家至多在文章末尾提点猜想以增加读者的兴趣, 而以纯粹的数学猜想为主体的文章是无处发表的。因此, 两位作者建议允许「理论数学」, 即「猜测数学」的存在。
这样一来, 现在有两种相互对立的看法。一方面, 物理学界中像杨振宁先生那样, 觉得理论物理的研究太自由, 胡乱猜测皆成文章,认为数学还比较好的。另一方面, 数学界如Quine 和Jaffe 那样, 觉得目前数学研究要求每个结论都必需证明的要求, 太束缚人的思想。应该允许人们大胆地猜测, 允许有根据而未经完全确认的数学结论发表出来。二者孰是孰非, 看来需要一个平衡。许多问题涉及哲学和社会学层面, 就不是三言两语可以解决的了。
三、复数、四元数的物理意义

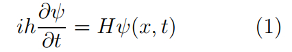
虚数i=p−1 的出现可溯源于15世纪时求解三次方程,但到18世纪的欧拉时代,仍称之为「想象的数」(imaginary)。数学界正式接受它要到19世纪, 经Cauchy, Gauss, Riemann, Weierstrass 的努力, 以漂亮的复变量函数论赢得历史地位。至于在物理学领域, 一直认为能够测量的物理量只是实数,复数是没有现实意义的。尽管在19世纪, 电工学中大量使用复数, 有复数的动势, 复值的电流, 但那只是为了计算的方便。没有复数,也能算出来, 只不过麻烦一些而已。计算的最后结果也总是实数, 并没有承认在现实中有真有「复数」形态的电流。鉴于此, 杨振宁先生说, 直到本世纪初,情况仍没有多少改变。一个例证是创立量子电动力学的薛定谔(Schrodinger)。1926年初, 据考证, 他似乎已经得到现在我们熟悉的方程

其中含有虚数单位i,是复函数, 但最后总是取实部。薛定谔因其中含虚数而对(1) 不满意, 力图找出不含复数的基本方程。于是他将上式两面求导后化简, 得到了一个没有虚数的复杂的高阶微分方程

1926年的6月6日, 薛定谔在给洛兰兹的一封长信中, 认为这一不含复数的方程(2) 「可能是一个普遍的波动方程。」这时, 薛定谔正在为消除复数而努力。但是, 到了同年的6月23日, 薛定谔领悟到这是不行的。在论文[5]中,他第一次提出: 「 是时空的复函数, 并满足复时变方程(1)。」并把(1) 称谓真正的波动方程。其内在原因是, 描写量子行为的波函数, 不仅有振幅大小, 还有相位, 二者相互联系构成整体, 所以量子力学方程非用复数不可。另一个例子是H.Weyl 在1918年发展的规范理论, 被拒绝接受, 也是因为没有考虑相因子, 只在实数范围内处理问题。后来由Fock 和London 用加入虚数i 的量子力学加以修改, Weyl 的理论才又重新复活。20 数学传播21卷2期民86年6月牛顿力学中的量全都是实数量, 但到量子力学, 就必须使用复数量。杨振宁和米尔斯在1954年提出非交换规范场论, 正是注意到了这一点, 才会把Weyl 规范理论中的相因子推广到李群中的元素, 完成了一项历史性的变革。1959年, Aharanov 和Bohm 设计一个实验, 表明向量势和数量势一样, 在量子力学中都是可以测量的,打破了「可测的物理量必须是实数」的框框。这一实验相当困难,最后由日本的Tanomura 及其同事于1982和1986先后完成。这样, 物理学中的可测量终于扩展到了复数。
令我惊异的是, 杨振宁教授预言, 下一个目标将是四元数进入物理学。自从1843年爱尔兰物理学家和数学家Hamiton 发现四元数之后, 他本人曾花了后半辈子试图把四元数系统, 像复数系统那样地广泛运用于数学和物理学, 开创四元数的世纪。但结果是令人失望的。人们曾评论这是「爱尔兰的悲剧」。时至今日, 一个大学数学系的毕业生可能根本不知道有四元数这回事, 最多也不过是非交换代数的一个例子而已。我还记起,1986年春, 钱学森在致中国数学会理事长王元的一封信中, 曾建议多学计算器知识, 而把研究「四元数解析」(复变函数论的推广) 的工作贬为「像上一个世纪」东西。总之, 我和许多数学工作者一样, 认为四元数发现, 只不过是「抽象的数学产物」, 不会有什么大用处的。
杨振宁向我解释了他的想法: 物理学离不开对称。除了几何对称之外, 还有代数对称。试看四元数a+bi+cj+dk , 其基本单位满足i^2 = j^2 = k^2 = −1 , 而ij = k, jk =i , ki = j ; ij = −ji , jk = −kj , ki =−ik 。像这种对称的性质在物理学中经常可以碰到。问题是这种四元数的对称还没有真正用于物理现象, 而且物理现象中的一些对称也还没有找到基本的数学源由。最近, 丘成桐等人的文章说:「我在1977年发表的一篇文章—Condition of Self-duality for SU(2) gauge fields on Euclidean fourdimensionalspace, 曾推动代数几何中稳定丛的解析处理的理论。我还没有问过数学家, 不知道这是怎么一回事。许多工作, 包括运用四元数表示的物理理论, 也许会在这种交流中逐步浮现的」。
杨振宁先生又说, 至于将复变函数论形式地推广到四元数解析理论, 由于四元数乘积的非交换性, 导数无法唯一确定, 所以不会有什么好结果出来。现在也有物理学家写成著作, 用四元数来描写现有的物理定律, 就没有引起什么注意。将来要用四元数表达的物理定律, 一定会是一组非线性微分方程组, 其解的对称性必需用四元数来表示。所以, 杨先生相信:「爱尔兰的悲剧是会变成喜剧的」。
四、「双叶」比喻
数学和物理学的关系, 应该是十分密切的。在数学系以外的课程中, 物理系开设的数学课最多最深。「物理学公理化, 数学化」, 曾是一个时期许多大学问家追逐的目标。不过, 擅长使用数学于物理的杨振宁教授却认二者间的差别很大, 他有一个生动的「双叶」比喻, 来说明数学和物理学之间的关系, 如下图。他认为数学和物理学像一对「对生」的树叶, 他们只在基部有很小的公共部分, 多数部分则是相互分离的。杨振宁先生解释说: 「它们有各自不同的目标和价值判断准则, 也有不同的传统。在它们的基础概念部分, 令人吃惊地分享着若干共同的概念, 即使如此, 每个学科仍旧按着自身的脉络在发展。」

原文标题:和杨振宁教授漫谈: 数学和物理的关系,来自《数学传播》
本文作者:华东师范大学教授张奠宙先生
版权归原作者所有,若侵删
20世纪数学与物理的分与合
杨振宁
本文原载于《环球科学》

可是19世纪末以来,数学变得越来越抽象。1961年有一个有名的美国数学家,叫做马歇尔·斯通(Marshall Stone)。我在芝加哥大学做研究生的时候,他是芝加哥大学数学系的主任,他把芝加哥大学数学系的地位给大大地提高了。所以现在芝加哥大学的人说,那个时候,上世纪50年代、60年代初在芝加哥是马歇尔·斯通时代。他在1961年发表了一篇半通俗的文章,其中讲了这么几句话:“自1900年起数学跟我们对于数学的一些观念,出现了非常重要的变化(他所谓出现了非常重要的变化,就是越来越抽象),其中最富革命性的发展是原来数学完全不涉及物理世界。”再清楚一点说(这还是他的话),“数学与物理世界完全没有关联。”他讲的这个话确实是当时数学发展的整个趋势。当时数学发展就是要研究一些数学结构之间互相的、非常美的、非常妙的关系,这是当时数学思想的主流。所以在20世纪的中叶,数学跟物理是完全分家了。
这个半世纪以前的情形,与今天已经大大地不一样了。我要跟大家谈的,就是这个分开的关系怎么又合了起来。要谈这件事情我们要回到麦克斯韦(James Clerk Maxwell)。麦克斯韦是19世纪最伟大的理论物理学家。他在19世纪的中叶写下了有名的麦克斯韦方程式。
他把以前关于电与磁的四个实验定律写成了四个数学方程式(下图)。这些方程式是今天电的时代,无线电时代与网络通讯时代的基础。没有这些方程式,人类今天的生活不可能是今天的样子。
△ 麦克斯韦方程式1915年到1916年,爱因斯坦发表了广义相对论,把引力理论变成一个几何化的理论。文章发表了以后,他又写出文章,说另外还有一种力量,即电磁力(electromagnetism),也必须要几何化。
一两年以后,有一个数学家叫做赫尔曼·魏尔(Hermann Weyl),响应了爱因斯坦这个号召。魏尔大家公认,是20世纪最伟大的几个数学家之一,他的工作领域是纯粹数学,是非常抽象的。可是他大胆提出来一个关于电磁学的理论。
我于1949年到普林斯顿高等研究院做博士后,那个时候他是高等研究院的一个教授,所以我见过他多次。可是那个时候我所发生兴趣的、我同辈的物理学家们所发生兴趣的领域,都跟当时赫尔曼·魏尔发生兴趣的数学没有关系,所以我们跟他只是在鸡尾酒会上有一些交谈。在我的记忆之中,我从来没有和他谈过一些学术上的问题。
在1918年、1919年的时候,魏尔发表了几篇文章,他认为他想出来了一个办法能够把电磁学几何化。他先讨论平行移动。这是爱因斯坦的几何中一个重要观念。平行移动是什么意思呢?

假如我在平面上画一个圈,从A这一点走回来。在A这一点上我画一个向量,(一个箭头),然后当我走的时候,尽量使得那个向量平行于自己,这样走回来,当然它还是在原来的方向。可是这只是因为我是在平面上。假如我是在一个曲面上,比如说在一个球面上画一个圈,从一个原点A出发,在那个地方放一个向量,然后尽量使得这个向量在移动的时候跟自己平行,那么你可以想象,转了一圈回来以后,向量就不一定跟原来的方向一样了。所以在一个曲面上,经过平行移动的向量未必回到它原来的方向。
于是魏尔问,“Warum nicht auch seine Lnge?”(德语:为什么长度不能也这样?) 假如是这样,“一个向量的长短为什么不也可以改变?” 也就是说,如果让向量的长短也在移动中继续不断地改,那么回到原来的A点,既然向量的方向可以不一样了,为什么它的长短不可以也不一样了?这是他的关键想法。为了贯彻此想法他,说在下图中,自A到B,一路上尺的长短都在继续改,改的因子如图上面所示,他给此因子起了一个很长的名字,翻译出来应是“比例因子”。他说此因子中的 μ应为电磁势eAμ。然后他说虽然移动一圈回来有些量改了,但是仍有一些不改的量,这些不改的量才是真正电磁现象,这样他就给了电磁现象一个几何意义。

魏尔把他的理论叫做Masstab Invarianz(尺度不变)理论。这个名词后来被翻译成Gauge Invariance(规范不变)。
他把他的文章投到德国普鲁士科学院(Prussian Academy)去发表。普鲁士科学院请爱因斯坦审稿。爱因斯坦一针见血地指出一个大问题。他说我在A放一样长的两个尺,一个尺从一个路径走到B,另外一个尺从另外一个路径走到B,根据魏尔的讲法,到了B的地方,这两个尺就不一定一样长了。那么本来是标准尺,后来哪个算是标准尺呢?没法做标准尺,就不能做任何物理实验,整个物理学就要垮台。这真是一针见血的批评。

非常幸运的是,编者们依然把魏尔的文章发表了,后面加了爱因斯坦的后记,提出他的批评。然后又请魏尔写了一个后后记放在最后面。在这后后记里头魏尔怎么讲法呢?后后记很短,只是一段,说爱因斯坦所讲的意思跟他讲的不一样。可是他没讲清到底是怎么不一样法。他以后又写了好多文章,都是哲学讨论,没有公式。显然,他对于他的想法仍然热衷,可是他始终不能够响应爱因斯坦的反对。
6年以后,量子力学的发展把这个问题解决了。量子力学跟刚才讲的发展,本来是没有关系的。量子力学是人类历史上一个大革命,发展以后,发现基本物理里头要用到 。在座念过高中数学,恐怕还记得有这个i。它在量子力学以前,在物理里头也出现过,可是不是基本的,只是一个工具。到了量子力学发展以后,它就不只是个工具,而是一个基本观念。为什么基础物理学必须用这个抽象的数学观念:虚数i,现在没有人能解释。底下我还要回到这一点上。
量子力学发展于1925年-1926年。一两年以后,弗拉基米拉·福克(Vladimir Fock)在前苏联,弗里茨·伦敦(Fritz London)在德国,分别指出魏尔当初那个很长名字的因子中,得加一个i上去。

加了一个i以后,本来是一支尺的长短变化,现在不是长短变化,而是相位变化,所以魏尔的因子就变成了phase因子(相位因子)。加了i以后,魏尔的想法与电磁学完全符合,就变成1929年以来大家完全同意的理论。当然有了i,Gauge Theory(规范理论)其实应该改为新名:Phase Theory(相位理论),规范不变理论也应改为新名:相位不变理论,可是因为历史关系,大家今天都仍然沿用旧名。
长短变化改为相位因子变化以后,爱因斯坦的反对理由也就不存在了。
1929年以后,大家同意以规范理论的观点来看电磁现象是很漂亮的数学观点,可是并没有引出任何新物理结果。
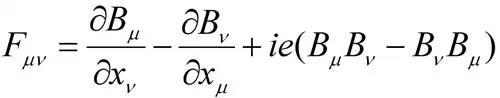
1946年-1948年我是美国芝加哥大学的研究生,对魏尔的规范不变理论之美妙十分欣赏。我尝试把它推广,把电磁势Aμ推广为2x2的方阵Bμ。这个想法引出头几步的计算,很成功,可是推广到电磁场Fμν时却导出了冗长的丑陋的公式,使得我不得不把此想法搁置下来。
以后几年许多新的基本粒子被发现,它们之间的相互作用成了热门题目。我想规范不变性也许是一个普遍的相互作用原则,所以又回到上面提到的推广魏尔的规范不变理论来。这次遇到了同样的困难,同样于尝试以后只得再放弃。如此每一两年重复一次,却都没有进展。
1953年-1954年我在美国布鲁克黑文国家实验室(Brookhaven National Laboratory)访问一年,和一位年轻的物理学家罗伯特·米尔斯(Robert Mills)共享一个办公室。我们一块讨论此问题。当然又遇到了同样的困难。不过这次我们没有放弃,而尝试将推广电磁场Fμν时的公式稍微修改一下。这个想法果然灵,数天以后,用了下面的公式,所有冗长的计算都自然化简了,得到了一个极美的、极简单的理论!这就是现在被称为“非阿贝尔规范理论”的雏形。
△规范理论中的一个公式我们的理论于1954年发表,可是它不能被当时关于新粒子的实验结果证实。要等到十多年以后,通过好多人的工作,引进来了另一个新的观念,叫做“对称破缺”。把对称破缺跟非阿贝尔规范理论合在一起,才跟实验对上口。以后几十年,上千个实验,证实这个理论跟实验完全符合。它今天被称为标准模型,是基础物理学里头一个重要基石。今年在瑞士日内瓦即将建成的大加速器LHC就是最新的研究标准模型的大设备。
在70年代我总结了这一切发展的精神,说这是“对称支配力量”(Symmetry Dictates Interaction):因为规范不变其实是一种对称,一种与圆的对称、晶体的对称、左右对称等观念类似,但是是更深入、更抽象的对称。
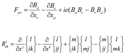
1969年我在美国纽约州立大学石溪分校教书的时候,教了一个学期广义相对论。有一天我在黑板上写下了广义相对论中有名的黎曼张量公式。当时我就想它有点像我所熟悉的上面那个公式。下课后把二者仔细对比,最后发现原来二者不只是像,而是完全相同,假如把一些数学符号正确地对应起来的话。
△上面是规范理论公式,下面是广义相对论中的黎曼张量公式,两者完全相同这个发现使我震惊:原来规范理论与广义相对论的数学结构如此相似!我立刻到楼下数学系去找系主任吉姆·赛蒙斯(Jim Simons)。他是我的好朋友,可是那以前我们从来没有讨论过数学。那天他告诉我,不稀奇,二者都是不同的“纤维丛”,那是20世纪40年代以来数学界的热门新发展!
后来赛蒙斯花了两个多星期的功夫, 给我们几个物理学家讲解纤维丛理论。学到了纤维丛的数学意义以后,我们知道它是很广很美的学问,而电磁学中的许多物理观念原来都有纤维丛的对应观念。于是1975年吴大峻和我合写了一篇文章,用物理学的语言,解释电磁学与数学家们的纤维丛理论的关系。文章中我们列出了一个表,是一个“字典”。表中左边是电磁学(即规范理论)名词,右边是对应的纤维丛名词。

字典中左边有一项“源”,右边没有对应,因为赛蒙斯说纤维丛理论中没有这个观念。后来美国麻省理工学院的数学家伊萨多·辛格(Isadore Singer)来纽约州立大学石溪分校访问,我和他谈了此事。他随后去英国牛津大学,带了吴大峻和我的文章,与迈克尔·阿提亚(Michael Atiyah)和奈杰尔·希钦(Nigel Hitchin)写了一篇关于无“源”的文章。因为他们在数学界的名望,规范场与纤维丛的密切关系很快即传遍数学界,从而引起了以后这些年物理与数学重新合作的高潮。
20世纪80年代开始,赛蒙斯辞了石溪分校的位置,转而进入华尔街,成了最成功的对冲基金主持人。2001年聂华桐和我请他夫妇到北京清华大学访问,那是他们第一次访问中国。回去后他们夫妇慨捐一百多万美元给清华建了一座“陈赛蒙斯楼”。陈是陈省身教授(1911-2004),是数学大师,曾和赛蒙斯合写一篇关于陈-赛蒙斯不变式(Chern-Simons Form)的文章,现在在物理中极有重要性。
陈省身先生在20世纪30年代曾是我父亲的学生,抗战时期在昆明西南联大我又曾是他的学生。他在纤维丛理论里面曾做过重要的奠基性的工作。我在1980年发表的一篇文章里说(译自英文):
1975年,规范场就是纤维丛上的联络的事实使我非常激动。我驾车去陈省身在伯克利附近埃塞利托(El Cerrito)的家〔1940年初,当我是国立西南联大的学生,陈省身是年轻教授的时候,我听过他的课。那是在陈省身推广高斯-包乃特定理(Gauss-Bonnet Theorem)和“陈氏级”的历史性贡献之前,纤维丛在微分几何中还不重要〕。我们谈到朋友们、亲戚、中国。当我们谈到纤维丛时,我告诉他我从赛蒙斯那里学到了漂亮的纤维丛理论以及深奥的陈省身─韦尔定理。我说,令我惊诧不止的是,规范场正是纤维丛上的联络,而数学家是在不涉及物理世界的情况下搞出来的。我又说:“这既使我震惊,也令我迷惑不解,因为,你们数学家居然能凭空想出这些概念。”他立即反对说:“不,不,这些概念不是凭空想出来的。它们是自然而真实的。”
今天没有人会再说“数学与物理世界完全没有关联”了。可是为什么“自然而真实”的、与物理世界本来无关的数学观念,是这样的“对称”,而且从而“支配”了宇宙间一切基本“力量”,恐怕将是永远不解之谜。
本文作者杨振宁,著名物理学家,1957年因共同提出宇称不守恒理论而获得诺贝尔物理学奖。他和罗伯特·米尔斯共同提出的杨-米尔斯理论,即非阿贝尔规范理论,是粒子物理标准模型的基础,对基础物理学产生了深远的影响。他还与吴大峻合作研究了规范理论与数学上纤维丛的密切联系。
4001102288 欢迎批评指正
All Rights Reserved 新浪公司 版权所有
