根据中国数学会监事长袁亚湘院士于 2022 年 7 月 29 日 − 8 月 1 日在中国数学会第十一届全国数学文化论坛的大会报告《黄金分割浅谈》整理,以下是报告实录。
今天我只讲数学文化的一个小例子——黄金分割。黄金分割是在中学就接触到的、非常初等的知识。
一
黄金分割的历史
黄金分割比例在《几何原本》中称为中末比,其定义如下:把一条线段分成两段,整段比长段等于长段比短段。欧几里得用几何作图的方法将线段分划为中末比。

(一)
《几何原本》中的中末比
第六章命题 30:将给定线段 (AB) 分成中末比。
欧几里得在没有无理数概念的前提下,利用了很多引理通过几何的方法得到中末比。给定一条线段 AB,如何将给定线段 (AB) 分成中末比,欧几里得的做法是:以 AB 为边在上面画一个正方形 ABHC,在 AB 上找一点 E 使得以 AE 为边长的正方形与EB 为边长的四边形 EBHF 面积相等。

如何用几何画图的方法找到具备此性质的 E ?欧几里得需要用到书中的其他引理。中末比有很多神奇的性质,在《几何原本》里有大量命题是关于这个中末比,否则欧几里得也不会特意定义这个比例。
第十三章命题 1:如果把一个线段分成中末比,则长段加整段的一半之和为边的正方形面积等于整段一半边长的正方形的 5 倍。
现在我们用中末比的精确值就能简单推出这一结果,但当时欧几里得是不知道中末比的具体数值的。

第十三章命题 8:一个等边等角的正五边形,用线段顺次连接两角,则连线交成中末比,且长段等于五边形的边。

第十三章命题 9:同圆内的内接正六边形的边长与内接正十边形的边长之比是中末比。

第十三章命题 17:求作已知球的内接十二面体,证明这十二面体的边是称为余线的无理线段。
推论:当立方体的一边被分成中末比时,长段是十二面体的边长。

用几何作图的方法能得到很多这种几何图形。上面这几个《几何原本》中的命题都跟中末比有关系。
(二)
对中末比的推崇
16 世纪意大利著名数学家帕乔利的著作《神圣比例》就谈到了中末比,这本书插画的作者是达 • 芬奇。

有很多数学家非常推崇中末比。被很多人认为是有史以来最伟大的数学家牛顿,提出的三大定律是基于开普勒的三大定律。所以,毫无疑问,开普勒也是一个伟大的科学家。开普勒对中末比是非常推崇的,他说:几何学有两大珍宝:一个是毕达哥拉斯定理(勾股定理),另外一个是中末比。前者可比金子,后者可称宝玉。由此可见,中末比在几何学中地位的重要性。

(三)
黄金分割名字由来
“黄金分割”这个名字并不是由开普勒提出来的,是一位名叫欧姆的数学家命名的,他非常推崇中末比,觉得这个比例太美好了,所以就给这个中末比取了一个美好的名字——黄金分割(goldener Schnitt),其中“黄金”是形容词,指“像金子般的”,“分割”是名词。“黄金分割”翻译成中文应该是“像金子般的比例(分割)”,之所以用“黄金”来命名,是因为在欧洲文艺复兴时期,人们喜欢用“金子般的”来形容事物的美好。所以“黄金分割”的意思应该是“很美好的比例”。
(四)
中末比与黄金分割
在国际上,黄金分割通常就是指中末比。而在我们国家因历史原因,更多的是将中末比的倒数称为黄金分割,这和中末比差 1,也就是把中末比小数点前面的 1 去掉。
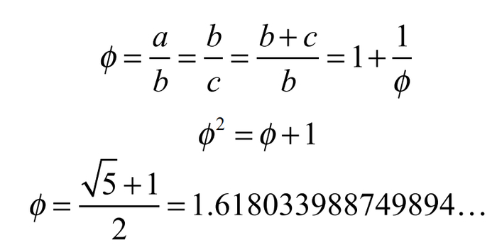
中末比:

(黄金分割)黄金分割比例:

二
有趣的公式
(一)
中末比的有趣公式:无穷根式
关于中末比有很多有趣公式,首先是它本身加 1 再开方,仍然是它本身,继续本身加 1 再开方还是它本身,可以一直递推下去,即如下式子:

(二)
黄金分割的有趣公式:连分数
同理,也有如下形式的连分式:

三
黄金分割应用
(一)
黄金分割与建筑
1.古埃及胡夫大金字塔

胡夫大金字塔的斜面中线长是 611.75 英尺,斜面底边一半是 378 英尺 ,这两个相除611.75/378≈1.618 恰好是中末比。大家可能觉得会是巧合,但巧合一般不会精确到小数点后四位,千分之一或万分之一这种精确度,所以建筑师一定知道这个中末比。
2. 雅典帕特农神庙

雅典的帕特农神庙,它的宽约等于 31 米,高约等于 19 米,高和宽的比例基本上非常接近于黄金分割比例 19/31≈0.613,而且雅典帕特农神庙存在大量黄金分割比例。由此可见,古希腊的建筑师一定是数学家。
3. 巴黎圣母院、印度泰姬陵、北京电视塔、上海东方明珠
法国巴黎著名建筑巴黎圣母院,它的第一层和第二层的比例,第二层和第三层的比例都满足中末比。印度泰姬陵里的一些布局、北京电视塔(238/386.5≈0.616)、上海东方明珠(289.2/468≈0.618)都存在黄金分割比。


(二)
黄金分割与绘画
达·芬奇与黄金分割
著名画家达•芬奇也是一位数学家,《维特鲁威人》的底稿中有很多线段都满足黄金分割比。

名画《蒙娜丽莎》存在大量的黄金分割比例;《最后的晚餐》这幅画的布局、画中建筑背景的分划都用到了黄金分割比例


米开朗基罗与黄金分割
著名画家米开朗基罗《创世纪》的布局同样用到了黄金分割比例。

修拉与黄金分割
印象派画家修拉的《安涅尔浴场》中整个画面的布局、海岸线高度、人物位置的布局都遵循黄金分割比例。

(三)
黄金分割与雕塑
号称世界最美雕塑——维纳斯,她从脚下到肚脐的高度跟整个雕塑的高度符合黄金分割比。同样涉及黄金分割比的雕塑还有《大卫》、《多里弗罗斯》和《宙斯》。


(四)
黄金分割与音乐
在音乐方面,贝多芬的第五交响曲,它的第一乐章按照主题部分和再现部分成两部分,前面主题部分有 377 音节,后面再现部分有 233 音节,233/377≈0.618,所以贝多芬他在布局自己第一乐章的两部分时完全是选择了满足黄金分割比例。

将莫扎特《第 1 钢琴奏鸣曲》的第一乐章分成两部分:前面主题部分和后面再现部分。前面主题部分是62 小节,后面再现部分是38 小节,这两部分的比例为0.613,也是黄金分割比。

J. Ryden 在论文《Statistical Analysis of Golden-Ratio in Piano Sonatas by Mozart and Haydn》中对所有的奏鸣曲(莫扎特、海顿)进行统计,并画了一条 0.618 斜线,发现第一乐章主题部分跟再现部分音节比例基本上都落到这条直线附近,也就是基本上这两段的比都接近于 0.618,可见,音乐家在写乐章的时候,这种比例最舒服。

乐器上也存在黄金分割。著名小提琴 Lady Blunt (1721) 是 18 世纪小提琴制作大师Antonio Stradivari 制作。关于这把小提琴之所以命名为 Lady Blunt, 是因为 Lady Blunt(她是拜伦孙女的女儿)曾收藏它达 30 年。该小提琴 2011 年拍卖成交价高达1000 万英镑。这把小提琴不仅音质好,有趣的是它在形状设计上,各个部分有很多是满足黄金分割比例。

(五)
黄金分割与自然
黄金分割在自然界也是大量存在的。奥黛丽 • 赫本脸部各部分比例符合黄金分割比,由此可见,不仅达芬奇画中的美人“蒙娜丽莎”存在黄金分割比,现实生活中大家公认的美人“奥黛丽 • 赫本”长相也符合这个比例。

大自然中的螺和玫瑰长相也符合黄金分割比例。

向日葵上的螺旋线顺时针数 34 条,逆时针 55 条,34/55≈0.618。同一个松果上的螺旋线条,顺时针数 8 条,反向再数就变成了 13 条,也接近黄金分割比,是不是很神奇?

黄金分割比例也存在于大自然中的树枝分叉、树叶,甚至蝴蝶、鹦鹉等很多地方长得都符合黄金分割比。



(六)
黄金分割与科学
在科学中,黄金分割也是广泛存在的,对于当前疫情下的核酸检测,基本都是采用混合检测。实际上对于混合检测,上世纪美国征兵时对于血液的检测就采用了混检的方法。数学家可以证明:当阴性样本比例大于黄金分割(61.8%)时,混合检测法要优于逐一检测法,可以节省人力和物力。

Lionel Penrose 和 Roger Penrose构造的几何铺砌(如下图)的边长实际上都满足黄金分割比。

在物理学中的量子力学等相关学科里面,很多常数,甚至在一些黑洞理论的研究里实际上都与黄金分割有关。

在化学中,液晶的结构满足黄金分割比例。


在生物学中,DNA序列的螺旋结构也符合黄金分割比例。


(七)
黄金分割与斐波那契数列
实际上,在很多科学领域里面常常出现黄金分割比例,与黄金分割比例密切相关的就是斐波那契数列。Fibonacci 在 1202 年出版的一本书《Liber Abaci》( 算书,1202)中介绍兔子繁衍的问题。
假设每对兔子在出生两个月以后每月生一对兔子,从一对兔子开始,一年后共有多少对?

斐波那契数列:

有很多数学机构喜欢在墙上画上、印上或者雕刻上斐波那契数列,我放了两张照片,第一张照片是北欧一座建筑的外墙,设计师用两种颜色标注了斐波那契数列,深颜色的代表已经过去的斐波那契年,上一个斐波那契年是1597年,下一个斐波那契年是2584年。

斐波那契数列有很多有趣的公式:

斐波那契数列还和二项式展开系数有关系,二项式展开系数在我国通常称为“杨辉三角”。二项式(a+b)n展开系数

斐波那契数列不仅有一些初等的性质,还有一些比较高深的跟数论有关的如下性质:

斐波那契数与黄金分割
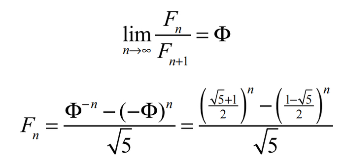
斐波那契数与黄金分割的关系密切。相邻的两项斐波那契数之比的极限恰好是黄金分割。


(八)
生活中的黄金分割
生活中也可以看到大量黄金分割,如建筑、摄影、女孩子穿高跟鞋、韩装的设计、芭蕾舞等。

斐波那契数列巧用

用斐波那契数列可以快速在英里和公里之间进行换算:


巧记 0.618
6 月 18 日诞生的名人或你认识的人。

中共六大 (1928.06.18, 莫斯科)


(九)
黄金分割法
我国著名数学家华罗庚先生著作《优选法》第一章就介绍了黄金分割法和分数法。上世纪 60 年代,华罗庚先生在全国大力推广优选法。







华罗庚先生讲优选法实际上就是如何找到一个单值函数的最大值点,其中一个做法就是先选两个点 0.3、0.7,如果 0.7 这个点比较高的话,我们从逻辑上可以推出 0 到0.3 之间没有最高的点(可以用反证法证明),即:
f(x) 连续、单峰(唯一最大值点)

就把 [0,1] 上的问题转化成 [0.3, 1.0] 上的问题。

对一般区间 [a,b],取 c

通过把包含解的区间不断缩小,就可以得到任意精度的近似解。

这里存在 c, d 如何选取的问题。我们希望留下的区间尽可能短 (最坏情形下最好),即 max{b-c, d-a} 达到最小,于是有 c ≈ d = (a + b)/2,也就是两点对分法。问题来了,通过重复利用,对分法,是不是计算函数值最少?
我们看一个例子,重复利用对分法(4 次函数计算):

我们还可以采用 4 个点的另外一种取法:

显然可以发现,反复利用对分不是最好的!

我们再看看多点综合选取:
1)三个点:先取 c =1/3,d =2/3
去掉一截之后,区间缩至 [0, 1/3, 2/3]
在 1/3 附近再加一点可将区间缩至 [0, 1/3];
2)四个点:去掉一截后成三个点的情形
于是取 c =2/5,d =3/5。
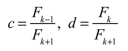
如果允许计算 k 次函数值(斐波那契数列),c 、d 的最优选取为:


,
于是根据黄金分割法(0.618 法),取 c =1−Φ ≈ 0.382,d = Φ ≈ 0.618。
:
可以证明:黄金分割是最优的固定分划方法!
黄金分割法给我们的启示如下:美好的东西常常是有用的,有用的东西通常是优美的,解决问题很重要,能用好的方法去解决问题更重要。谢谢大家!
4001102288 欢迎批评指正
All Rights Reserved 新浪公司 版权所有
