2025 年 4 月 22 日,用友网络科技股份有限公司发布《关于筹划公司在香港联合交易所有限公司上市的提示性公告》。

用友公告称:为深入推进全球化 2.0 战略, 加强与境外资本市场对接, 进一步提升综合竞争力, 用友网络正在筹划发行境外股份(H 股)并在香港联合交易所有限公司(以下简称“香港联交所”)上市事项(以下简称“本次 H 股上市”)。
正与相关中介机构就本次 H 股上市的具体推进工作进行商讨, 相关细节尚未确定, 本次 H 股上市不会导致公司控股股东和实际控制人发生变化。
根据 《上海证券交易所股票上市规则》 《境内企业境外发行证券和上市管理试行办法》 等法律法规的要求,待确定具体方案后,本次 H 股上市工作尚需提交董事会和股东大会审议,并经中国证券监督管理委员会备案和香港联交所等监管机构审核。
本次 H 股上市能否通过审议、备案和审核程序并最终实施具有较大不确定性。
将依据相关法律法规的规定,根据本次 H 股上市的后续进展情况及时履行信息披露义务。
用友《2024 年年度报告》合并资产负债表:




截至 2024 年 12 月 31 日,用友网络的负债总额 143.57 亿,其中流动负债 123.65 亿。
目前市值 469.8 亿:


用友 2024 年营收 91.53 亿,同比减少 6.57%;亏损 20.61 亿。

2024 年分季度主要财务数据:

报告期内,实现营业收入 915,273 万元,同比下降 6.6%,其中,云服务业务实现收入 684,983万元,同比下降 3.4%。
营业收入下降主要由于:
(1)部分客户需求阶段性延后,签约金额同比下滑;
(2)公司更大力度地推进订阅业务模式,对短期整体收入造成一定影响。
报告期内,尽管整体收入有所下滑,但核心产品 BIP3 实现收入 31.4 亿元,占整体收入的比例同比提升 2.4 个百分点;订阅收入同比增长 26.0%。
报告期内,归属于上市公司股东的净亏损额为 206,131 万元,归属于上市公司股东的扣非后净亏损额为 203,821 万元。
除受上述收入下降的影响外,亏损主要还受以下因素影响:
(1)研发投入形成的资本化无形资产摊销金额较上年增长了 30,036 万元;
(2)报告期末,员工数量相较 2023 年末减少 3,666 人,离职人员经济补偿金相应增加 14,230 万元;

平均每人获得补偿金 3.88 万元。
(3)期末长期股权投资账面价值 281,866 万元,因被投资公司经营情况波动和经营业绩下滑,计提长期股权投资减值损失较上年增加 6,055万元,同时投资收益较上年减少 2,341 万元;
(4)期末商誉原值为 193,509 万元,因收购的子公司业绩下滑,计提商誉减值损失较上年增加 15,582 万元;
(5)期末以公允价值计量的股权投资的账面价值 90,761 万元,因被投资公司估值下降,以公允价值计量且其变动计入当期损益的投资损失较上年增加 6,934 万元。
报告期末,销售商品、提供劳务收到的现金为 98.0 亿元,保持基本稳定。
合同负债(已从客户收到但尚未达到收入确认条件的现金收款)为 30.5 亿元,较 2023 年年末增长 8.8%,其中,云业务相关合同负债为 27.8 亿元,较 2023 年年末增长 13.0%,订阅相关合同负债为 23.1 亿元,较 2023 年年末增长 25.9%。
截至报告期末,云服务累计付费客户数为 87.25 万家,新增云服务付费客户数 15.75 万家。
报告期内,大型企业客户业务实现收入 586,438 万元,同比下降 10.0%,核心产品 YonBIP 续费率达 91.5%。
报告期内,中型企业客户业务实现收入 125,104 万元,同比下降 9.7%,其中,云服务业务实现收入 93,258 万元,同比增长 7.9%,订阅业务收入同比增长 65.8%。核心产品 YonSuite 围绕成长型企业全场景持续稳定迭代和完善,实现业财税人货场社会级协同融合,连续多个季度保持业务高速增长,续费率持续提升至 95.0%。
畅捷通实现收入 96,481 万元,同比增长 19.7%,其中,云订阅收入 65,644 万元,同比增长 34.1%,占畅捷通整体收入的比例 68.0%;实现归母净利润 3,346 万元;新增云服务业务付费企业用户数 14.3 万家,累计付费企业用户数达到 77.5 万家。



政府与其它公共组织客户业务实现收入 90,652 万元,同比下降 7.7%。
前五名客户销售额 32,502 万元,占年度销售总额 3.55%。



主要业务分析:

营收构成:

成本分析表:

费用化研发投入 13.2 亿:

研发 7337 人:


主要控股参股公司分析:


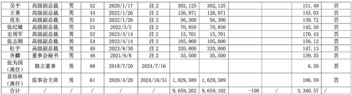
现任及报告期内离任董事、监事和高级管理人员持股变动及报酬情况:


报告期内,用友进一步优化业务组织,继续控制人员规模、优化人员结构。报告期末,员工数量为 21,283 人,较 2023 年末减少 3,666 人。

销售人员平均薪酬 51.7 万:

研发人员平均薪酬 16.24 万元:


4001102288 欢迎批评指正
All Rights Reserved 新浪公司 版权所有