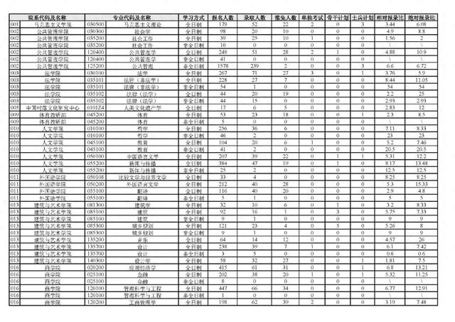
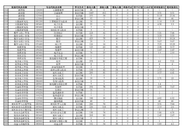
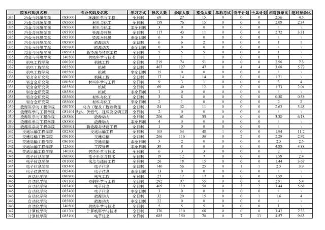
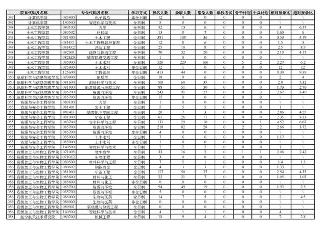
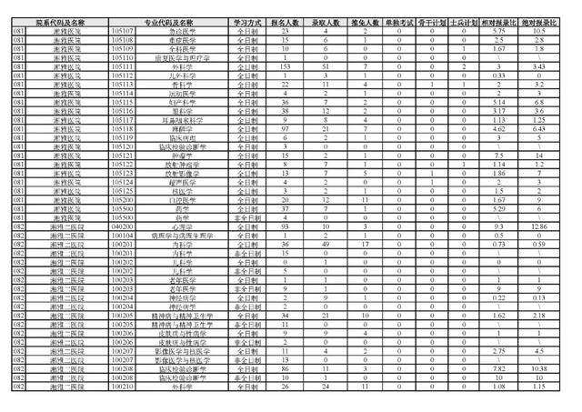
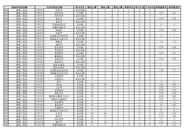
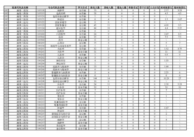
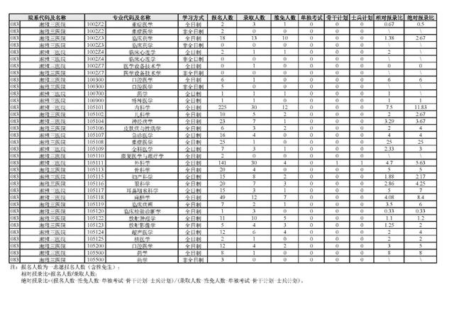
考研计划招生人数和考研报录比是考生择校择专业时的参考重点之一,因此考研报录比成为考生衡量报考难度的重要因素。为了节省考生们的时间,君君整理了“中南大学2024考研招生人数统计情况”。(当前官方新数据)
下面是中南大学2024年硕士研究生录取人数统计,仅供参考。










4001102288 欢迎批评指正
Copyright © 1996-2019 SINA Corporation
All Rights Reserved 新浪公司 版权所有
All Rights Reserved 新浪公司 版权所有
