来源:生物世界


撰文丨王聪
编辑丨王多鱼
排版丨水成文
最近几十年来,随着塑料制品的广泛使用,环境中的微塑料及纳米塑料变得无处不在。更重要的是,越来越多的研究显示,这些微塑料/纳米塑料可以在人体内积累,科学家们已经在血液、肺、肾脏、肝脏、生殖系统,甚至是大脑中发现了微塑料/纳米塑料的存在。
现实生活中,微塑料/纳米塑料无处不在,我们所呼吸的空气、瓶装水、食品包装袋、外卖盒等等,导致我们不可避免地接触并摄入微塑料/纳米塑料,从而可能对人体的多种器官和系统造成伤害。
之前的研究通常聚焦于检测微塑料的存在、揭示其潜在毒性作用以及从环境中去除微塑料,对于已经入侵人体的微塑料,还没有有效的排除策略。
而最近,我国学者的两项新研究为带来了新的曙光——利用全新发现的益生菌,吸附并促进体内微塑料的排出,同时修复微塑料引起的身体损伤。
2025 年 1 月 10 日,蓝晶微生物首席科学家饶驰通博士领导的研究团队在Frontiers in Microbiology 期刊发表了题为:Novel probiotics adsorbing and excreting microplastics in vivo show potential gut health benefits 的研究论文。

来自食品和水中的微塑料(MP)污染对健康构成重大风险。微生物具有出从环境中去除微塑料的潜力,但目前尚无方法能够将人体内已存在的这些不可降解的微塑料清除。
在这项新研究中,研究团队提出利用益生菌在肠道内吸附并去除已摄入的微塑料颗粒。
研究团队采用高通量筛选法对 784 株细菌菌株进行了全面评估,以测定它们吸附 0.1 微米尺寸的聚苯乙烯(简称PS,常用于电器、玩具、日用品、塑料包装、建材和医疗器械等)颗粒的能力。在这些菌株中,研究团队发现两种益生菌——副干酪乳杆菌 DT66 和植物乳杆菌 DT88 在体外表现出最佳的微塑料颗粒吸附效果,并且对各种微塑料类型(PS、PE、PC、PP 和 PET)均有效。
扫描电镜显示,益生菌 DT66 和 DT88 能够吸附微塑料及纳米塑料接下来,研究团队进行了体内动物实验中,实验小鼠在口服这些益生菌后,这些益生菌能够像磁铁般吸附微塑料,形成“菌-塑料团”,进而将微塑料排出体外,具体来说,实验小鼠消化系统中的微塑料的排泄率提高了 36%,肠道内残留的微塑料颗粒减少了 67%。

益生菌 DT66 和 DT88 促进微塑料的排除
此外,该研究还证实了,植物乳杆菌 DT88 菌株可减轻聚苯乙烯(PS)微塑料引起的肠道炎症。
总的来说,这项研究提出了一种针对微塑料相关健康风险的新型益生菌策略,突出了使用特定菌株益生菌清除肠道环境中微塑料并降低微塑料相关健康风险的潜力。
2025 年 2 月 1 日,蓝晶微生物饶驰通团队联合江南大学王刚团队,在 Environmental Pollution 期刊发表了题为:Lactic acid bacteria reduce polystyrene micro- and nanoplastics-induced toxicity through their bio-binding capacity and gut environment repair ability 的研究论文。

微塑料/纳米塑料(MNP)是近年来备受关注的新兴环境污染物。目前,关于微塑料/纳米塑料暴露对动物(尤其是水生生物和哺乳动物)的毒性影响的研究较多,但关于降低其暴露所造成毒性影响的研究和数据仍然非常有限。
乳酸菌(简称LAB,包括乳杆菌)作为公认的安全食品级益生菌,具有修复肠道屏障、调节肠道微生物群和调节宿主免疫力的能力,还具有生物结合有害物质的能力,从而可能吸附人体内的微塑料/纳米塑料,降低其在体内的积累水平,从而降低可能引起的毒性作用。
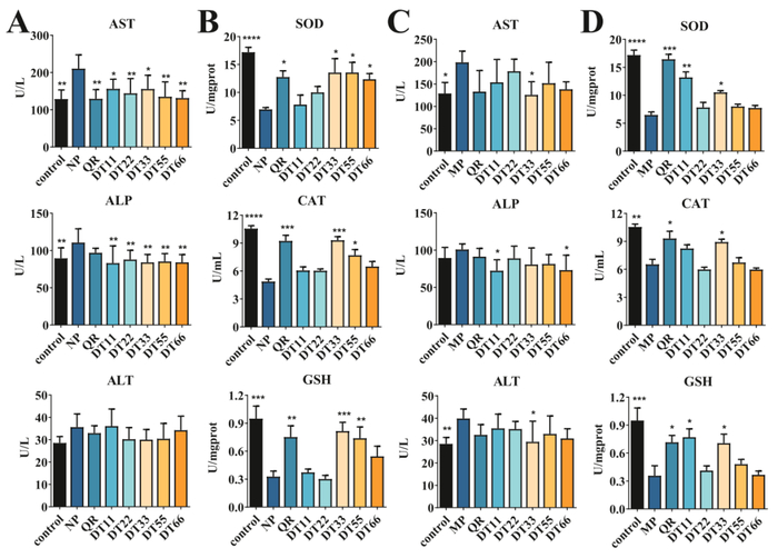
在这项新研究中,研究团队选取了在体外对微塑料/纳米塑料具有不同结合能力的乳酸菌(DT11、DT22、DT33、DT55、DT66),对暴露于微塑料/纳米塑料的小鼠进行干预,以探究其对微塑料/纳米塑料暴露所致毒性降低的效果。
研究结果显示,在体外实验中具有较高的微塑料/纳米塑料吸附能力的乳酸菌(DT11、DT33、DT55、DT66,吸附率超过60%)在缓解微塑料/纳米塑料暴露所导致的毒性方面更有效。但值得注意的是,植物乳杆菌 DT22 尽管与微塑料/纳米塑料的相互吸附作用较低(吸附率约为10%),但在上调紧密连接蛋白(例如 ZO-1)表达水平以及调控肠道微生物群方面发挥了关键作用。
无论是在体外与微塑料/纳米塑料具有高相互吸附作用的乳酸菌菌株还是低相互吸附作用低的乳酸菌菌株,都能有效降低微塑料/纳米塑料暴露所导致的毒性(例如肝毒性和睾丸毒性)。这种作用通过两种可能的机制实现:首先,乳酸菌可以吸附微塑料/纳米塑料并促进其通过粪便排出体外,从而减少其在体内的积累;其次,乳酸菌可以修复肠道屏障,调控肠道菌群,增加短链脂肪酸(例如丁酸)的生成。

乳酸菌降低微塑料/纳米塑料引起的肝损伤

乳酸菌降低微塑料/纳米塑料引起的睾丸和结肠损伤
这些结果表明,乳酸菌对于微塑料/纳米塑料的毒性缓解作用,不仅在于其生物结合能力,还在于其修复受损肠道环境的能力。也就是说,乳酸菌不仅是肠道中的“搬运工”(促进微塑料/纳米塑料排出),更是“修复师”(修复微塑料/纳米塑料导致的损伤)。
因此,研究团队建议将乳酸菌益生菌作为一种饮食干预手段,以降低微塑料/纳米塑料诱导的毒性。
总的来说,这两项创新成果为人类应对微塑料问题提供了全新的解决思路,同时为改善肠道健康、恢复微生态平衡开辟了新途径,具有重要的环境和健康意义。
论文链接:
1. https://doi.org/10.3389/fmicb.2024.1522794
2. https://doi.org/10.1016/j.envpol.2024.125288
4001102288 欢迎批评指正
All Rights Reserved 新浪公司 版权所有
