来源:生命科学前沿
中国精神卫生调查显示,我国成人抑郁障碍终生患病率为6.8%,其中抑郁症为3.4%,目前我国患抑郁症人数9500万,每年大约有28万人自杀,其中40%患有抑郁症。
抑郁症是影响全球人口的紧迫全球健康问题。截至 2015 年,全球受影响的人数已达到 3.2 亿,患病率为 4.4%。尽管世界各地的研究都将抑郁症与死亡率上升联系起来,但专门针对中国的证据有限。近日,中疾控发文报道了一些研究发现,重度和轻度至中度抑郁症都会提高中国人口的死亡率。这种影响在男性、城市居民、年轻人和受教育程度较高的人群中尤为明显。抑郁症与自杀和非自杀性伤害相关的死亡有更密切的联系。该文题为“Preplanned Studies: The Association Between Depression and All-Cause, Cause-Specific Mortality in the Chinese Population — China, 2010–2022”。

什么是抑郁症?
临床上将抑郁症视为一种异质性疾病,病理机制不明,治疗效果也不同。根据患病程度,抑郁症可分为轻度、中度、重度抑郁症,不同国家和地区的定义不同。重度抑郁症是一种临床综合征,以情绪低落或对活动失去兴趣的状态为特征,且持续两周或两周以上,并伴有其他症状(如睡眠障碍、饮食习惯改变、疲劳、自杀想法和注意力难以集中)。
针对中国的研究证据
本研究利用中国的一个基于人群的队列来评估 2010 年抑郁症患者的 12 年死亡风险。研究结果显示,在中国人口中,抑郁症与全因死亡率和特定原因死亡率之间存在显著的正相关关系,表明对性别、年龄和教育水平等不同人口统计数据的影响各不相同。研究结果强调,有必要加强对所有抑郁症患者的身心支持,特别关注男性、城市居民、年轻人(60 岁以下)和受教育程度较高的人。
中国慢性病和危险因素监测 (CCDRFS) 是一项长期的全国性调查,由国家慢性非传染性疾病预防控制中心监督。CCDRFS 2010 调查在中国 162 个疾病监测点 (DSP) 进行。调查对象为 100,000 多名 18 岁及以上的参与者。
记录的死亡数据包含死亡日期和根据 ICD-10 系统分类的原因。死亡原因分为心血管疾病(I21-I25、I60-I69)、癌症(C00-C97)、自杀(X60-X84)、非自杀伤害(V01-X59、X85-Y89)和其他原因等类别。
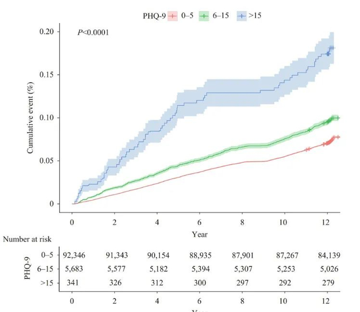
在CCDRFS 2010研究中,抑郁症的评估采用患者健康问卷-9(PHQ-9),包括9个问题,回答过去两周内出现的抑郁症状,得分从0(完全没有)到3(几乎每天)。抑郁症严重程度分为三个等级:无(PHQ-9≤5)、轻度至中度(5
15)。此外,还考虑了人口统计学、行为、代谢因素和病史等各种协变量。
研究结果
经过平均 11.6 年的随访,该研究发现 7,333 人死亡。患有抑郁症的参与者的累积死亡率高于非抑郁症参与者。

在患有重度抑郁症的人群中,男性、城市居民、年轻人、受过高等教育的人和体重较轻的人的 HR 较高。轻度至中度抑郁症也显著影响了大多数亚组。此外,重度抑郁症患者的年龄标准化死亡率是女性的三倍。
总之,利用基于人群的队列数据,该研究发现抑郁症与死亡率之间存在直接关联。这种关联在男性、城市居民、年轻人和受教育程度较高的人群中尤为明显。抑郁症患者因受伤和心血管疾病而死亡的风险较高。
抑郁症影响的一个可能解释是它与吸烟和缺乏体育锻炼等不良习惯相关。此外,作者在基线特征中观察到了类似的关联。另一个可能的机制是抑郁症对代谢功能的影响,特别是脂质代谢,这可能导致缺血性心脏病的发展。
令人担忧的是,在患有严重抑郁症的人群中,尽管女性抑郁症患病率更高,但男性的死亡率却是女性的三倍。城市、年轻和受过高等教育的个体受到抑郁症的影响更为显著,尽管他们属于过去研究较少的相对优势亚群体。这些差异可能源于不同亚群体对抑郁症的不同心理和行为反应。
作者还表明,这种关联对因受伤和心血管疾病导致的死亡尤其重要。应优先为抑郁症患者提供加强的身心支持,并特别关注那些属于高危亚群的人。
来源:https://weekly.chinacdc.cn/en/article/doi/10.46234/ccdcw2024.212
4001102288 欢迎批评指正
All Rights Reserved 新浪公司 版权所有
