日前,2024天津高考录取分数线公布
本科线为475分
今年约7.08万人参加考试
比去年参考人数大约增加了3000人
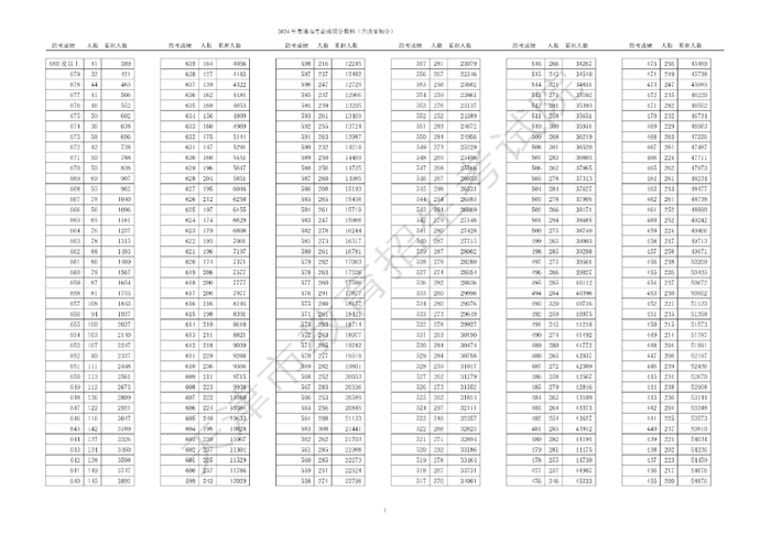
从2024年一分一档统计表中可以看到
今年680分以上共计389人
本科上线率约为64.25%


从今年的本科招生计划来看
天津2024年本科招生扩招了1585人
985院校在津增招35人达到3420人
985录取率预计约为4.83%
211院校在津增招122人达到了4622人
211录取率预计约为6.53%
👇
这也就意味着:
天津6成以上的学子都有本科大学可读
每100个人里有64个人能上本科
有4个人能上985 6个人能上211

当然,结合过往多年的经验来看
基本每年985和211院校在津招生的最终结果
都会高于录取计划
所以今年最终的211、985录取率
可能还会更高

回看2023年天津的全国排名
本科录取率为65.25% 位居全国第4
211录取率11.66% 位居全国第4
985录取率5.00% 位居全国第3
清北录取率万分之23.6 位居全国第3
综合排名天津仅次于北京、上海
位列全国第3

今年的录取率排名
想必放在全国中依旧不俗
让我们静待下最终的录取结果吧
天津高考为何这么牛?
0
1
天津考生人数相对较少
2021年5.6万人,2022年5.8万人,2023年6.8万人,2024年7.08万人,天津近几年都稳定在5-7万左右,浮动不大!而河南、山东2024年高考人数均破百万,对比高考大省,天津的考生数也就是其它大省的零头!竞争压力可是说是相当小了。

0
2
录取比例高
天津的本科录取率、一本录取率、985,211录取率、清北录取率,数年来都位居全国前列!上一所好大学的机会更大!

图片来源:好规划找伯钧0
3
天津高考全自主命题
天津高考一直采用全自主命题卷,高考总分750分,采用3+3模式。
其中,语文、数学、外语三门科目为必考科目,每科满分150分,总计450分。而物化生政史地六门科目中,考生需选择其中三门进行考试,每科满分100分,总计300分。这六门科目采用赋分制进行评分。
天津的赋分制颇具特色——将100分分成5级21档,每科最高级别为A5,赋予成绩100分;每科最低级别为E,赋予成绩40分。
这意味着,即使考生在某科目上的卷面成绩并不理想,但只要其排名在前2%,就能获得满分100分,在一定程度上降低了考试难度。

同时,天津试卷难度设置为7:2:1的比例,与全国卷的6:3:1比例相比,天津卷中的简单题多了10%,中等难度题少了10%,相比于全国统一命题,自主命题更能贴合当地教学实际,更有利于考生获得更好的成绩。

0
4
本地教育资源雄厚
高考其实就是省内竞争,省内的优质大学多相对应的录取名额也就多!而天津本身就有着雄厚的教育资源,现有69所高校,拥有南开大学、天津大学两所985院校,天津医科大学等4所211院校,天津工业大学等双一流高校同样实力不俗!



天津普通高等学校共56所🖕

天津成人高等学校共13所🖕
0
5
2024天津高考扩招 质量可喜
天津2024年总招生计划数57282,比上年增长0.6%。
👉本科计划总数44121,其中本科公办计划总数33648,本科民办计划总数10223。985院校计划总数3396,211院校计划总数7983,中外合作办学计划总数2218。

在数量之外,2024年天津高考招生计划的质量也有明显提升。具体如下:

今年的招生计划重头戏放在了本科A,可以说天津今年的本科率算是稳了,这种扩招最大的受益群体就是中等水平的学生,有更大的机会稳上本科。
4001102288 欢迎批评指正
All Rights Reserved 新浪公司 版权所有
